پاشندگی امواج یون-صوتی در پلاسما
نگارش : ابوالفضل باباپور
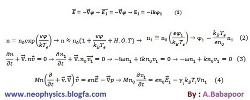
فرض میکنیم بر یونها دو نیروی الکتریکی و گرادیان فشار اثر میکنند. در این صورت (1) ، (2) ، (3) و (4) به ترتیب میدان الکتریکی پایا ، رابطه چگالی اختلالی مرتبه اول با پتانسیل اختلالی مرتبه اول ، معادله پیوستگی یونها و معادله حرکت یونها هستند:














امروزه پروژه چند ملیتی ایتر ، نانو تکنولوژی ، شتابدهنده هادرون ، شاتل آنلانتیس و ... توانایی منحصر به فرد و انکار ناپذیر فیزیک کاربردی ، فیزیک نظری و فیزیک محاسباتی را بخوبی نمایش میدهند.انشتین بزرگ در باره توانایی فیزیک فرموده است :