گشتاور دوقطبی مغناطیسی ذرات باردار پلاسما(الکترونها و یونها)
نگارش : ابوالفضل باباپور
از چرخش ذرهای با بار q در یک مسیر دایرهای به شعاع لارمور حول خطوط میدان مغناطیسی ، گشتاور دوقطبی مغناطیسی ایجاد خواهد شد که اندازه آن برابر است با :

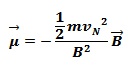
با توجه به دیامغناطیس بودن محیط پلاسما (نا همسو بودن میدان مغناطیسی خارجی و میدان مغناطیسی ناشی از چرخش ذرات پلاسما حول میدان مغناطیسی خارجی) ؛ میتوانیم گشتاور دوقطبی مغناطیسی را بصورت زیر بنویسیم:

+ نوشته شده در دوشنبه هفتم فروردین ۱۳۹۶ ساعت 15:16 توسط نئو فیزیک
|
امروزه پروژه چند ملیتی ایتر ، نانو تکنولوژی ، شتابدهنده هادرون ، شاتل آنلانتیس و ... توانایی منحصر به فرد و انکار ناپذیر فیزیک کاربردی ، فیزیک نظری و فیزیک محاسباتی را بخوبی نمایش میدهند.انشتین بزرگ در باره توانایی فیزیک فرموده است :