حرکت ذرات باردار تحت تاثیر میدان مغناطیسی یکنواخت خارجی
نویسنده : ابوالفضل باباپور
در اینجا قصد داریم حرکت یونها و الکترونها را تحت تاثیر میدان مغناطیسی یکنواخت خارجی مطالعه کنیم و همچنین علت دیامغناطیس بودن پلاسما را بیان کنیم. به این منظور ؛ فرض میکنیم ذرهای به جرم m و بار q تحت تاثیر میدان مغناطیسی خارجی به چگالی B در جهت محور Z قرار دارد . معادله حرکت ذره بصورت زیر خواهد بود:

با جایگذاری رابطه (2) در رابطه (3) و بر عکس داریم :

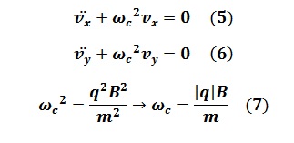
جواب معادلات (2) ، (3) و (4) با عنایت به روابط (5) ، (6) و (7) برابرند با :

در روابط (9) و (12) علامت فوقانی مربوط به یونها و علامت تحتانی مربوط به الکترونهاست . روابط (11) و (12) نشانگر حرکت دورانی یکنواخت در صفحه عمود بر میدان مغناطیسی (xy) و رابطه (10) حرکت یکنواخت در امتداد میدان مغناطیسی است. رابطه (9) و رابطه (12) جهت چرخش را نشان میدهند. یعنی بار مثبت (یونها) حول میدان مغناطیسی در جهت ساعتگرد و بارهای منفی (الکترونها) حول میدان مغناطیسی در جهت پادساعتگرد میچرخند. یعنی پلاسما یک محیط دیامغناطیس است بدین معنی که جهت میدان مغناطیسی ناشی از چرخش ذرات پلاسما حول میدان مغناطیسی خارجی ، در جهت مخالف میدان مغناطیسی خارجی است.
جهت چرخش الکترون حول میدان مغناطیسی خارجی در جهت پادساعتگرد(مثلثاتی)
شعاع چرخش الکترونها و یونها حول میدان مغناطیسی خارجی یکنواخت ، شعاع لارمور نام دارد. رابطه شعاع لارمور با فرکانس سیکلوترونی برابر است با :

امروزه پروژه چند ملیتی ایتر ، نانو تکنولوژی ، شتابدهنده هادرون ، شاتل آنلانتیس و ... توانایی منحصر به فرد و انکار ناپذیر فیزیک کاربردی ، فیزیک نظری و فیزیک محاسباتی را بخوبی نمایش میدهند.انشتین بزرگ در باره توانایی فیزیک فرموده است :