اعمال اختلال مرتبه اول بر معادلات حاکم بر رفتار پلاسما در مدل دو شارهای
نگارش : ابوالفضل باباپور
طبق مدل دو شارهای معادلات حرکت شاره الکترونی و یونی ، معادلات پیوستگی شاره یونی و الکترونی و همچنین معادلات 4 گانه ماکسول در پلاسمایی که تحت تاثیر نیروی لورنتزی و گرادیان فشار قرار دارد ؛ عبارتند از :

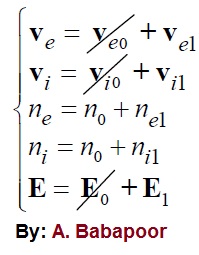
اگر اختلاف مرتبه اول را لحاظ کنیم :

یعنی از اختلال مراتب بالاتر(دوم ، سوم و ...) صرف نظر کنیم :

در غیاب میدان مغناطیسی (B=0) و اختلال مرتبه اول ، معادلات حرکت شاره الکترونی و یونی ، معادلات پیوستگی شاره یونی و الکترونی و همچنین معادلات 4 گانه ماکسول (روابط A تا H) بصورت زیر در میآیند:

+ نوشته شده در سه شنبه هفدهم اسفند ۱۳۹۵ ساعت 0:3 توسط نئو فیزیک
|
امروزه پروژه چند ملیتی ایتر ، نانو تکنولوژی ، شتابدهنده هادرون ، شاتل آنلانتیس و ... توانایی منحصر به فرد و انکار ناپذیر فیزیک کاربردی ، فیزیک نظری و فیزیک محاسباتی را بخوبی نمایش میدهند.انشتین بزرگ در باره توانایی فیزیک فرموده است :